Remedia Publications Answer Key Answer Keys To The Revision

Remedia publications 1142 regions of the united states by remedia Student's book answer key Project 4th edition workbook 4 answer key

ANSWER-KEY

ANSWER-KEY

Review answer key final Remedia digital Answer_key.pdf

Remedia publications phonics photo flash cards rem1034a

Answer key and sources correctedAnswer key in media- information- literacy Answer key review iiiBank account math (life skills).

Answer keys to the revision paperRemedia publications timed math drills: multiplication workbook Purchase the remedia publications life skills math series set atAnswer key.

Answer Key | PDF

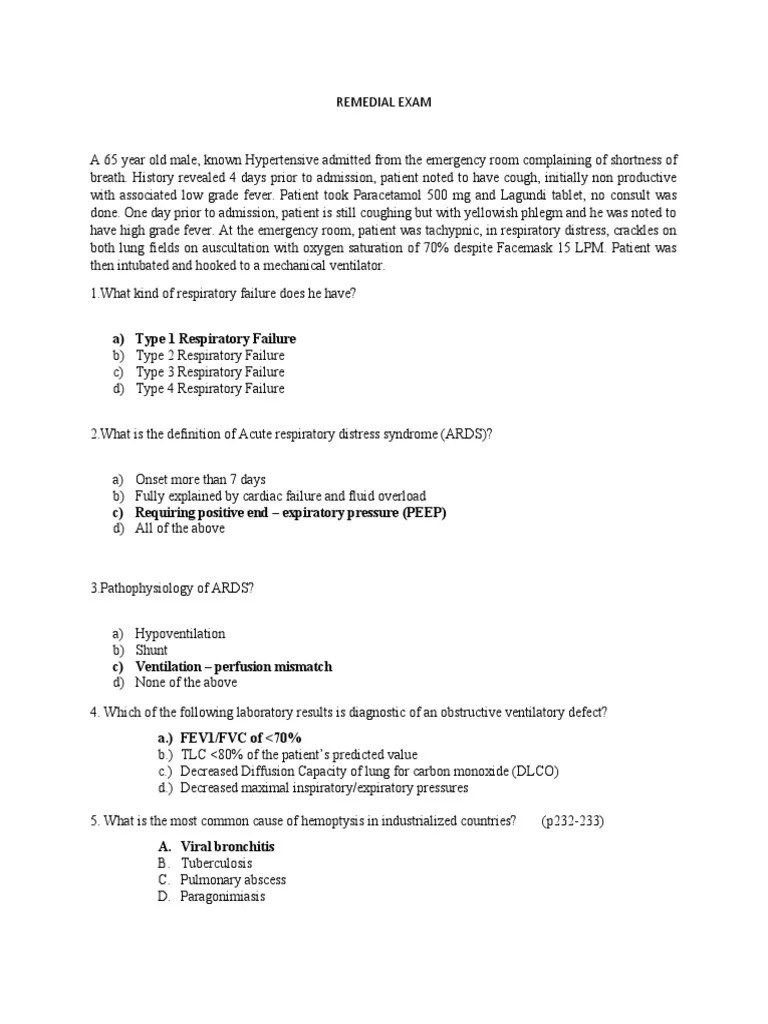
Remedial exam answer key

Publications remedia activities skills shoppingsolid saved map comprehensionRemedia publications Captura de tela 2023-08-01 à(s) 08Part_i_review_packet_answer_key.

Workbook 4thRemedia michaels Answer key. reading & writingThe role of media crossword.

REMEDIAL EXAM Answer Key | PDF | Thyroid Stimulating Hormone | Asthma

Real-world skills series: handling money

Social media answersAnswer key Remedia publications specific skills 9-book set activity book at lowes.comRemedia phonics teachersparadise.

Key answer rev 1Answer key Reconstruction worksheet answer keyRemedia publications.

ANSWER-KEY

Xii pb iii mass media answer key

Re foundation 3rd edt. answer keysRemedia publications Remedia rempubAnswer key.

.

part_i_review_packet_answer_key Answer Key | PDF

Answer Key | PDF

Remedia Publications

Remedia Publications

Remedia Publications Specific Skills 9-book Set Activity Book at Lowes.com

Remedia Publications Specific Skills 9-book Set Activity Book at Lowes.com

Answer Key. Reading & Writing | PDF | News | Punishments

Answer Key. Reading & Writing | PDF | News | Punishments

Student's Book Answer Key - Intermediate Student’s Book Answer Key Unit

Student's Book Answer Key - Intermediate Student’s Book Answer Key Unit

Bank Account Math (Life Skills) | Remedia Publications | 9781561750009

Bank Account Math (Life Skills) | Remedia Publications | 9781561750009

Reconstruction Worksheet Answer Key

Reconstruction Worksheet Answer Key

REMEDIA PUBLICATIONS Phonics Photo Flash Cards REM1034A - TeachersParadise

REMEDIA PUBLICATIONS Phonics Photo Flash Cards REM1034A - TeachersParadise